
First of all, we try to find out the summation series of the series.
Then, we use the Integral Test here which is:
If \(\int_1^\infty f(x) \, dx\) convergent, then \(\sum_{n=1}^{\infty} a_n\) is convergent.
If \(\int_1^\infty f(x) \, dx\) convergent, then \(\sum_{n=1}^{\infty} a_n\) is divergent.
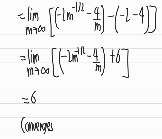
Then you basically take the \(\lim_{m \to \infty} \int_1^m f(x) \, dx\) which in this case is \(\frac{\sqrt{n} + 4}{n^2}\).
You proceed to take the integral with Power Rule and then finally taking the limit.
Since the limit exists, it converges which is the final answer.
.jpg)
