
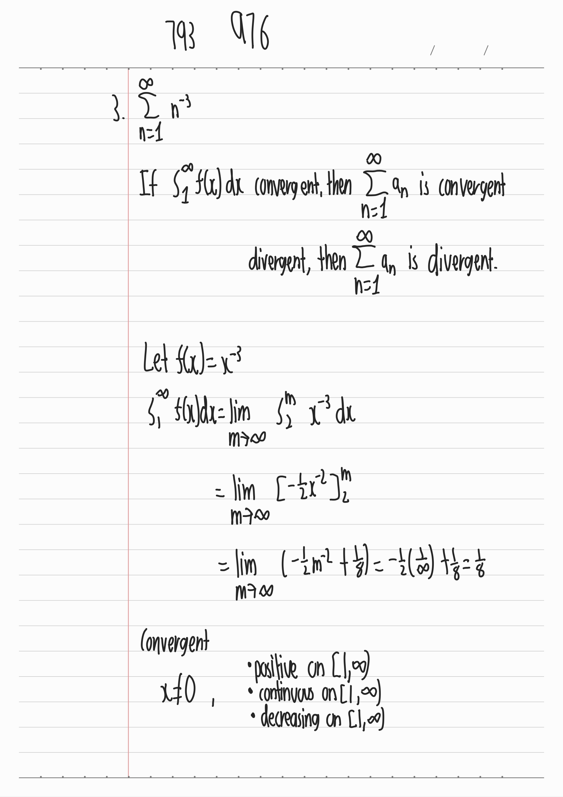
We use the Integral Test here which is:
If \(\int_1^\infty f(x) \, dx\) convergent, then \(\sum_{n=1}^{\infty} a_n\) is convergent.
If \(\int_1^\infty f(x) \, dx\) convergent, then \(\sum_{n=1}^{\infty} a_n\) is divergent.
Then you basically take the \(\lim_{m \to \infty} \int_2^m f(x) \, dx\) which in this case is \(x^{-3}\).
You proceed to take the integral and then finally taking the limit.
Then, you will get the final answer.
